過去の結果感想とか考察とかのまとめを「前置き」の「最初に」に置きましたので、ブログの読み込み遅い時とかはご活用をー。
まずは入手経験値とmoney関係から。
前提として、消費TP,CP×変換率が経験値、消費TP,CP×変換率×10がmoneyというのがありますが、これは証明なしで。
さて、特に今後どれだけmoneyが手に入るかというのは、そのまま実入りに直結する問題でもあります。
何故か?魔力強化があるからです。
2000moneyで300強化、特に魔力が足りない序盤には莫大な数値と言えるでしょう。
これを使い倒すためにも、今後の展望は大事なのです。
で、ざっくりと見たのが↓に
財布事情のまとめ
これまでの全体の入手TP、CPと予想値
今後の入手TP+CP予想値の図
TP+CPの総量と、変換率を0.5とした入手経験値、moneyで計算。
予想値は回毎の蓑笠の収入で予想した場合と、全体の収入で予想した場合の2パターンを一応用意。
全体の収入での予想の場合は、総TP+CPの増加量を元に、今回(第4回)の133を起点として作ってあります。
こんな感じで見ると、全体の収入で見た場合でも、9週目には目標の2000moneyに到達するんですよね。
そして、現状手元のmoneyは3121で、虚無ユニットも1504分。
虚無ユニットを売却する前提で組んだ場合・・・次回(第5回)から9週目(第9回)までずっと魔力強化を使用し続けられる計算になります。
・・・まあこれだけじゃ全く安心出来る数値ではないのですが。
変換率は勇者の撃破CP加速化でまたCP側に偏りそうですし、全体TP+CPの増加と同様に蓑笠が伸びるという前提もなく。
今後買っていくユニットも結構高額です。
さらに魔力強化を使用した場合は実入りが増える分も踏まえて、あくまで予想止まりではありますね。
ということで、細かく検証!
・壮大値と入手TP,CP
3回分の結果を経て、傾向が取れるようになりましたね。
適当に壮大値毎に区切りを付け、いくつで手に入る値が変わるか調べたところ・・・
こんな感じになりました。
TP,CP入手量は4500/危険度毎に1変わる。
つまり・・・
表にするとこんな感じ。
まあ「1125刻みを意識」しつつ、「被ダメを端数分程度に抑える」ことが出来れば充分でしょう。
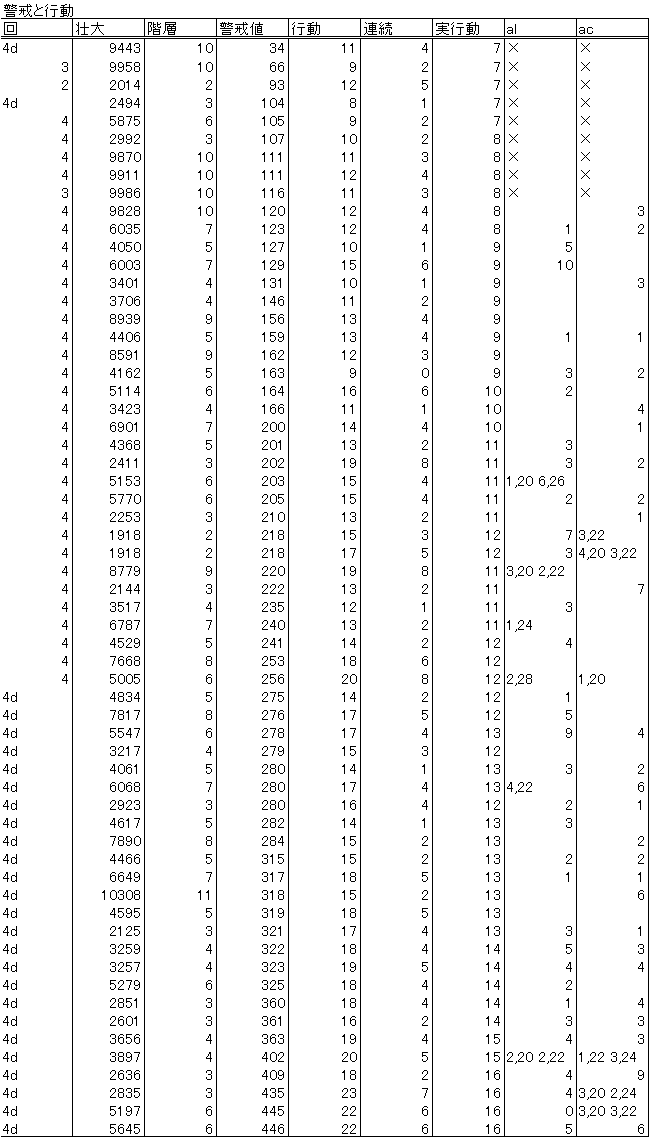
・警戒値と行動数
どういう計算式なのかはわかっていませんが、低階層で警戒値に補正が入るようになりましたね。
これは固定値で、以下の数値になっています。
・・・ちなみに階層は壮大値が1000区切りで勝手に上がるだけです。
これを最大限役立てるには・・・警戒値と行動数にどの程度相関性があるか、を確認する他ありません。
ということで、警戒値と行動数を適当に取って表にしました。
左から更新回、壮大値、階層、警戒値、行動数、連続行動回数、行動数から連続行動を引いたもの(警戒値が影響している実行動数)、アラーム発動回数、アーチャー発動回数です。
ついでに4dというのはデモ結果、4は再更新前の結果です。
alacに×が付いているのは単にデータを取っていないだけ。
なお、アラームやアーチャーの補正なんかは計算していませんし、混乱も見ていないのでアバウトではあります。
遅延効果だけは受けていませんが。(第4回には格闘敵が出ていませんし。)
なんというか、色々無視した数値なのに数字が綺麗で、かなり雲行きが怪しいような。
行動数の変わり目となる警戒値と思しき数値だけを取っていくと・・・
ほとんど警戒値40毎に行動回数が1回増えるってことで問題なさそうですね。良いのかそれで・・・
実行動9から15までをグラフにすると見事に近似直線通りになります。
つまり、階層補正もそのまま行動回数が増えると計算して良さそうです。
2階なら5行動、3階なら4行動、4階なら3行動、6階なら2行動、9階なら2行動だけ増えます。
ちなみに、前の記事にも書きましたが、連続行動は1/4の確率で起こります。
3連続なら1/16です。他の要素はなんら関係しません。
今回、再更新の方の結果でも、いぬちゃんが3649行動中連続行動は898回、3連続行動は220回。
こたつは2410行動中連続行動619回、3連続行動149回。
サリオロスは2397行動中連続行動592回、3連続行動148回。
それぞれ、.246 .245 .257 .241 .247 .250。
上の適当に取った警戒値と行動回数の表でも連続行動発生は216回で、実行動回数686で割って.315と
.250+.0625にほとんど等しくなっていますし、皆に等しくランダムで起きていたと裏付けが取れました。
ちなみに、アシストの場合でも1183回のアシストに、連続行動は266回で.225、その内3連続行動は.274とやはり一定割合の中で起こっているようですね。
ここまでを合わせて考えると、次回200程度TPCPを合計で稼ぎたいのなら、壮大値で12と行動数17か、壮大値13と行動数16が妥当そうに見えてきますね。
行動数にはアシスト4回と連続行動が入るので・・・(連続行動発生率の低下が不安ですが)
壮大値は13500か14625以上、警戒値は281か241辺りで充分に目指せるレベルのようです。試す価値はありますね。
そして、ここから気になることが一つ。
・・・これほとんど加速効果が仕事していないですよね?
モロに行動回数を増やしているのは加速効果が合計10回程度発動した結果だけで。
これに関しては、後半にて検証を行いましょう。
【結論】
・自分は次回(第5回)から魔力強化を買いっ放しでも大丈夫そう
・TP,CP入手量は4500/危険度毎に1変わる。
・警戒値40毎に行動回数が1回増える
PR
カレンダー
プロフィール
HN:
甲殻類
性別:
男性
自己紹介:
定期更新型ネットゲーム「SoulDrops」参加者(黒鉄遥[417]PL)。他も色々。
最新記事
(04/13)
(01/21)
(02/06)
(01/17)
(01/13)
最新コメント
[05/16 CloneFBAgish]
[09/03 アカシ]
[04/17 玄武門 影久(1)]
[03/21 甲殻類(ブログ書いてる奴)]
[03/20 玄武門 影久(1)]
アーカイブ
カテゴリー
リンク
ブログ内検索




