忍者ブログ
過去の結果感想とか考察とかのまとめを「前置き」の「最初に」に置きましたので、ブログの読み込み遅い時とかはご活用をー。
* admin *
[43]  [42]  [39]  [40]  [38]  [37]  [36]  [33]  [32]  [27]  [26
     
×

[PR]上記の広告は3ヶ月以上新規記事投稿のないブログに表示されています。新しい記事を書く事で広告が消えます。

ということで結果と感想の分の疑問を解くために あっさり調査。
別の答えが出てきました。
【調査内容】
・状態異常:衰弱の判定(メイン)
・状態異常:衰弱の効果量(メイン)
・ダメージ乱数のブレ

拍手[0回]



あちらでも挙げましたが、ケイブバットの超音波[衝撃]は敵専用の、無属性必中クリティカル技。
完全固定ダメージです。

一方で、
>固定ダメージの技に乱数がかかっていたバグを修正。
とあったので、39回以前の結果と40回の結果を比較すれば、本来の乱数の働きがわかるはずです。
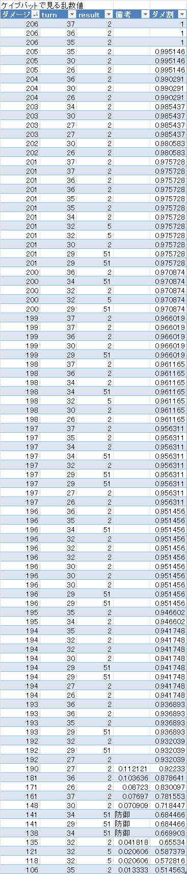
そういう体で調査しました。そして40回でのダメージの幅は、203~192まで。


それでは39回以前の結果をドーンと。


はい。特に補正のない状態での39回までのダメージの幅は、206~192まででした。
・・・うーん、今回の結果では何らかの理由でダメージ乱数が下に偏ったようになっていただけで、乱数幅は同じなようにも見えてきますね。
或いは今回の修正は、こちらとは関係なかったのかもしれません。


実際にダメージごとの回数をt39まで、t40、全結果と並べてみますと、


t40が下に偏っていることと、そうでなくともある程度下に偏っている傾向が見て取れますね。
固定値側のダメージ乱数の幅は14~0という見方で良いのでしょうか、そういう式なのかどうかを含めてイマイチ言い切れませんね。


むしろこの結果で見るべきは、更に減っている部分でしょう。
まず状態異常:防御の場合。以前も調べた通り、ダメージが7割になっていますね。確認が出来ています。

そして、状態異常:衰弱の場合。明らかにダメージが減っていますね。
これの傾向はどうかというと・・・


取ったデータは、かなり綺麗な直線上に乗ります。
・HPがMHPの1/8を下回ると衰弱になる。
・衰弱状態ではHPが1/8から更に減少するとともにその割合に応じて直線的に50%まで威力減
と言って良いでしょう。


ざっくりですがこんな〆でも多分大丈夫でしょう。
【結論】
・衰弱はHP1/8以下で自動的に変わる
・衰弱状態時HP1/8と比較した割合に応じて、直線的にHP0で威力50%まで減衰
・ダメージ乱数は少なくとも14~0ぐらいまでブレたりはする
PR
この記事にコメントする
お名前
タイトル
文字色
メールアドレス
URL
コメント
パスワード   Vodafone絵文字 i-mode絵文字 Ezweb絵文字
管理人のみ閲覧可     
BACK HOME NEXT
カレンダー
09 2025/10 11
S M T W T F S
1 2 3 4
5 6 7 8 9 10 11
12 13 14 15 16 17 18
19 20 21 22 23 24 25
26 27 28 29 30 31
プロフィール
HN:
甲殻類
性別:
男性
自己紹介:
定期更新型ネットゲーム「SoulDrops」参加者(黒鉄遥[417]PL)。他も色々。
最新コメント
[05/16 CloneFBAgish]
[09/03 アカシ]
[04/17 玄武門 影久(1)]
[03/21 甲殻類(ブログ書いてる奴)]
[03/20 玄武門 影久(1)]
ブログ内検索
フリーエリア
忍者ブログ // [PR]

template ゆきぱんだ  //  Copyright: 旅の恥は書き捨て。 All Rights Reserved